Предмет: Алгебра, автор: sergeyevmentev9

Спростіть вираз будь ласка ​

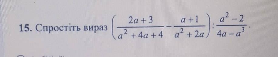
Приложения:

Ответы

Автор ответа: anastasiablek026
1

Відповідь з поясненням

Приложения:
Похожие вопросы
Предмет: История, автор: hanter1232
4. Установіть відповідність.
Поняття
1 неореалізм
2 поп-арт
3 абстракціонізм
4 соціалістичний
реалізм
Визначення
А напрям у мистецтві, основним завданням
якого було звеличення побудови соціалістичного суспільства
Б напрям у мистецтві, який передбачає зображення не реальних предметів, а їхнє образне сприйняття у формі ліній, кольорових
плям
В напрям у мистецтві, мінімальна трансформація використаних у процесі творчості
матеріалів, простота й однаковість форм, монохромність, творче самообмеження художника
Г напрям у мистецтві, для якого характерне
звернення до демократичних ідеалів, інтерес
до життя пересічних людей
Д напрям у мистецтві, для якого характерне
створення колажів, використання символічних і знакових об’єктів
5. Перші після Другої світової війни Олімпійські ігри відбулися в
А Лос-Анджелесі
Б Лондоні
В Мельбурні
Г Токіо
6. Установіть відповідність.
Діяч
1 Федеріко Фелліні
2 Анрі Матісс
3 Умберто Еко
4 Семуел Беккет
Вид мистецтва
А живопис
Б література
В кінематограф
Г театр
Д музика