Предмет: Математика,
автор: h2zyknz7m5
Помогите пожалуйста очень срочно
Приложения:
Ответы
Автор ответа:
1
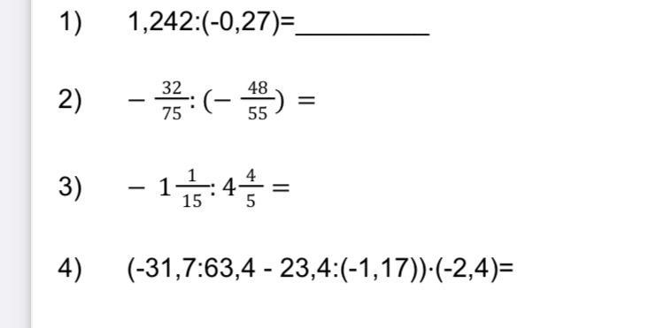
Відповідь закріпляють у фото нижче :
Приложения:
Похожие вопросы
Предмет: История,
автор: bohdankononenko94
Предмет: Математика,
автор: gurovaolga978966
Предмет: Українська мова,
автор: anastasiamazitova6
Предмет: Химия,
автор: gusarkatia16