Предмет: Алгебра,
автор: prstodasa
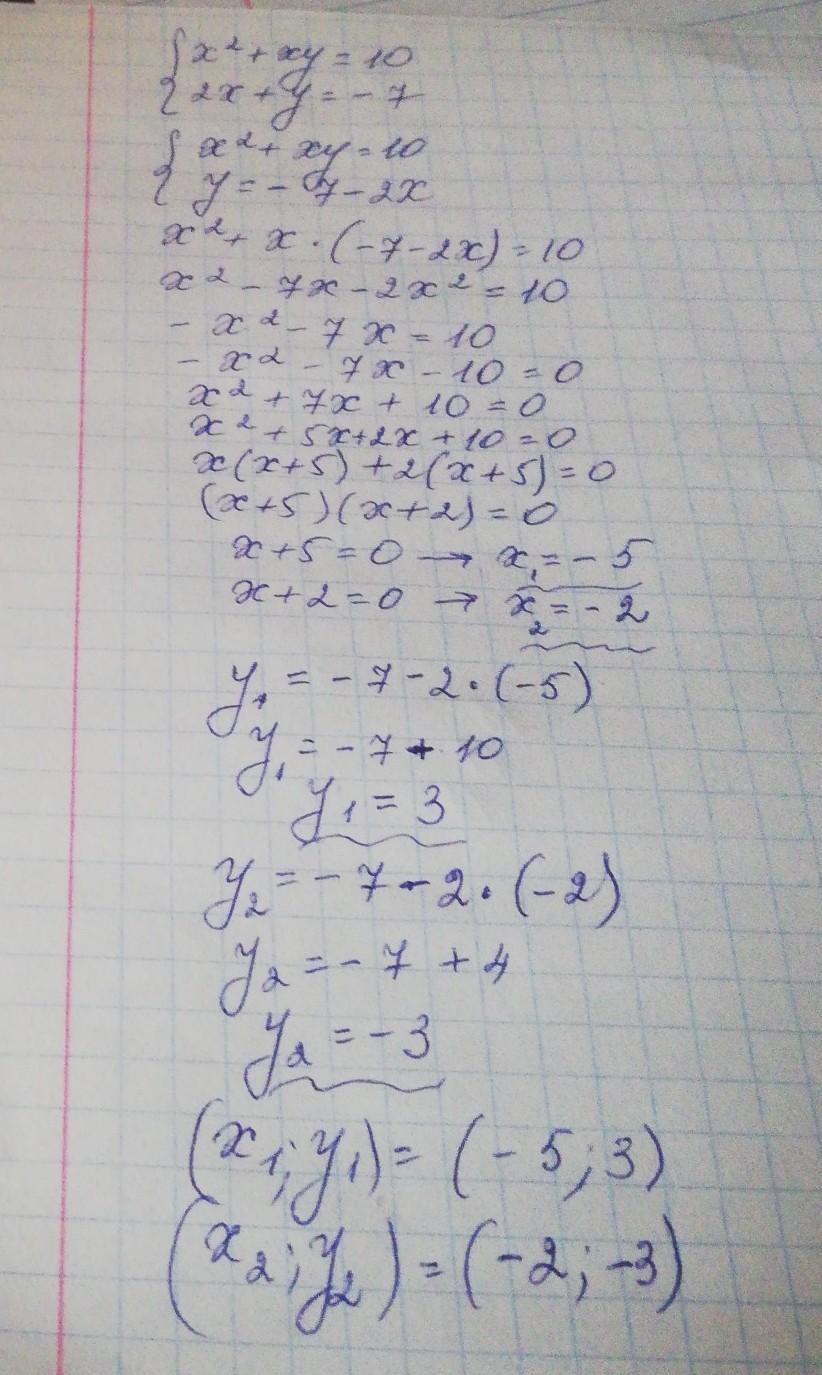
розв'яжіть систему методом підстановки . БУДЬ ЛАСКА ДОПОМОЖІТЬ )
Приложения:
Ответы
Автор ответа:
2
Ответ:
Смотри решение на фото.
Приложения:
Похожие вопросы
Предмет: Химия,
автор: Аноним
Предмет: Українська мова,
автор: evelinaprudivus
Предмет: Химия,
автор: kuanyshbai08
Предмет: Алгебра,
автор: Аноним