Предмет: Алгебра,
автор: alinaleopard
Пожалуйста,друзья выручайте с алгеброй! Очень вас прошу!!!! Пожалуйста!
____________
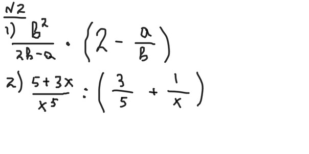
Выполнить действия во всех номерах! Пожалуйста!
Задания во вложении.
Приложения:
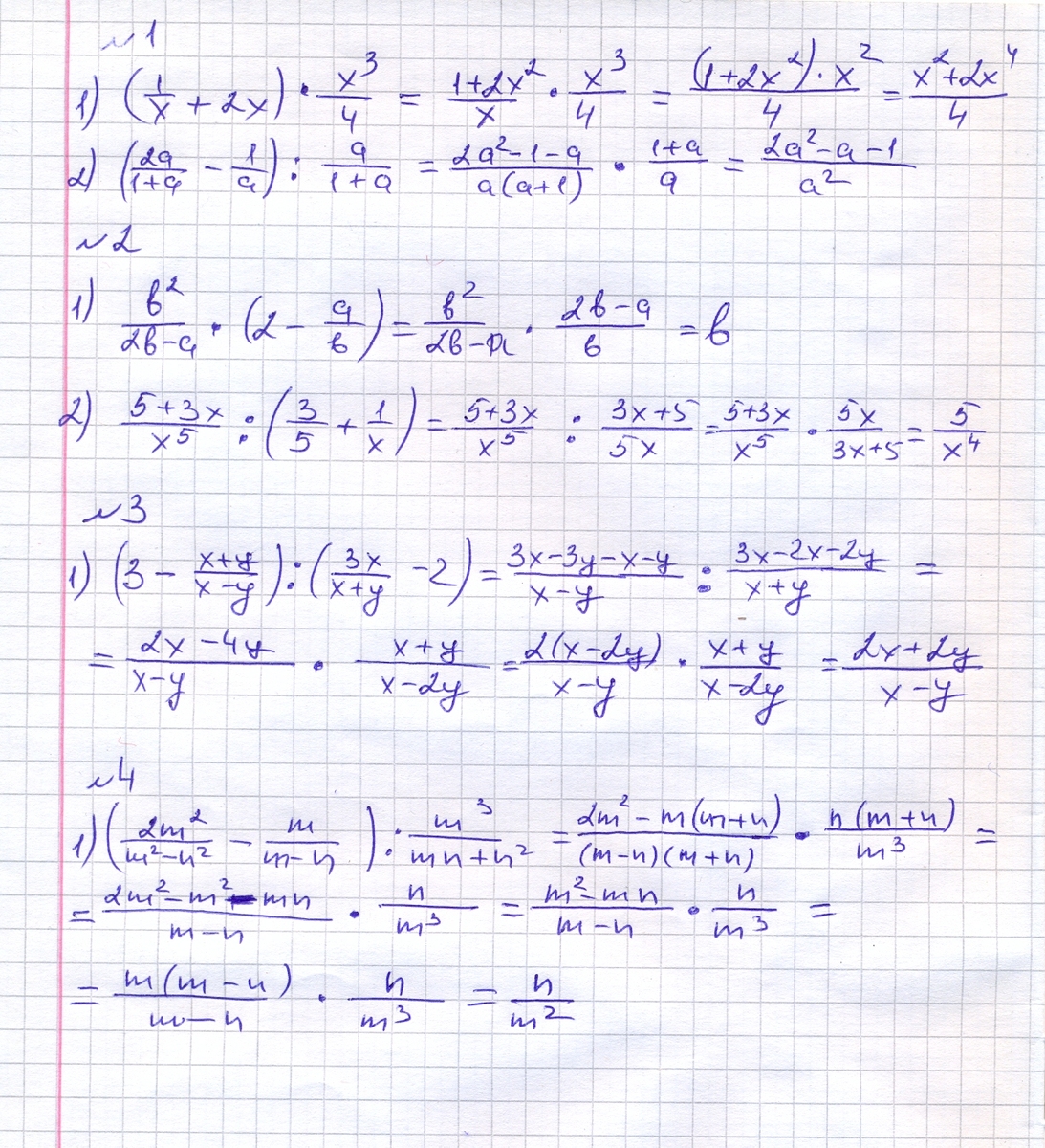
Ответы
Автор ответа:
0
Надеюсь понятно) Если что-то непонятно я тебе в вк скину)
Приложения:
Автор ответа:
0
фотала через телефон, поэтому качество не очень((
Автор ответа:
0
№4 это
Автор ответа:
0
№1 не поняла что написано
Автор ответа:
0
№2 и №3 попозже напишу
Автор ответа:
0
в вк напишу если что
Автор ответа:
0
...............................................................................
Приложения:
Автор ответа:
0
о спасибочки тебе огромнейшее! ты меня оочень сильно выручилА)))спасибо!!! никогда не забуду твоё добро!!!!))))))))))))
Похожие вопросы
Предмет: Литература,
автор: arzugylydzeva123
Предмет: Информатика,
автор: ksusha3179
Предмет: Алгебра,
автор: 666debik666
Предмет: Литература,
автор: paraska123
Предмет: Алгебра,
автор: lerochka1703