Предмет: Алгебра, автор: krabatu

Срочнооооооо!!!! дамм 49
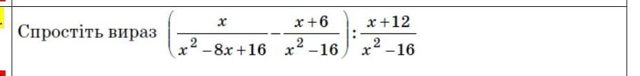
Спростіть вираз (x/(x ^ 2 - 8x + 16) - (x + 6)/(x ^ 2 - 16)) / ((x + 12)/(x ^ 2 - 16))
(розписати)​

Приложения:

Ответы

Автор ответа: larisaserova53
1

Ответ:

Смотри решение на фото..

Приложения:

krabatu: дякую!!!!
Похожие вопросы
Предмет: Английский язык, автор: studio13vlog
1. You … switch your phone of in class.
a. can’t b. mustn’t c. must
2. … you help me clean the house, please?
a. Will b. Shall c. Must
3. You … have any sweets. It’s dinner time.
a. mustn’t b. don’t have to c. could
4. The boys … wash the dishes yesterday.
a. have to b. didn’t have to c. must
5. … you like to come to the cinema.
a. Would b. Will c. Shall
6. Sam … speak English when he was six.
a. can b. can’t c. could
7. You … play football in the living room.
a. must b. mustn’t c. have to
8. … you open the door for me, please?
a. Would b. Shall c. Must
9. You … go to school today. It’s Sunday.
a. have to b. don’t have to c. must
10. … I carry those books for you?
a. Would b. Will c. Shall
11. You … be careful when crossing the street
a. have b. must c. can’t
12. I … swim when I was two.
a. can’t b. shouldn’t c. couldn’t
13. … you like a cup of tea?
a. Would b. Could c. Shall
14. … I use your laptop?
a. May b. Would c. Must
15. … I go to the supermarket?
a. Will b. Shall c. Would
16. The Wilsons … buy a new car. It’s too expensive.
a. can’t b. can c. could
17. You … go to bed late. You will be tired.
a. could b. shouldn’t c. must
18. Students … finish the test in an hour.
a. would b. shall c. must
19. … I take a lunch break, please?
a. Would b. Must c. Could
20. Jane … write an essay yesterday.
a. had to b. must c. can
21. Good morning. How … I help you?
a. should b. must c. can
22. You look ill. You … see a doctor.
a. could b. should c. can
23. Jim … go out tonight but he isn’t sure.
a. must b. may c. can
24. You … eat food in the library.
a. mustn’t b. must c. don’t have to
25. … you like some coffee?
a. could b. must c. would
Предмет: Информатика, автор: vkoh060916
Предмет: Алгебра, автор: wrhnvm