Предмет: Математика,
автор: lalilijhoy
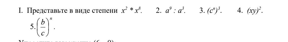
С решением пж чтоб записать
Приложения:
Ответы
Автор ответа:
1
Ответ:
.............
Пошаговое объяснение:
............
Приложения:
Похожие вопросы
Предмет: Математика,
автор: urcenkotimur116
Предмет: Право,
автор: aharkovatatiana
Предмет: История,
автор: Аноним
Предмет: Физика,
автор: An2017
Предмет: География,
автор: Аноним