Предмет: Алгебра,
автор: massssssssss
срочно!!!!!!
1. Якщо дискримінант квадратного рівняння дорівнює числу -9, то квадратне рівняння…
має два різні корені
має один корінь
має безліч коренів
не має коренів
Знайдіть корені рівняння: х^4 - 20х^2 + 64 = 0
-4;-2;2;4
4;2
-4;4
-2;2
Знайдіть корені рівняння 2х^4 - х^2 - 6 = 0
7; -7
√2; - √2
- 3/2
2 ; - 2
Розкладіть на множники квадратний тричлен: 3х^2 - 8х - 3
(х + 3)(3х - 1)
3(х - 3)(х + 1/3)
(х + 3)(х - 1/3)
3(х - 3)(х + 1)
Добуток двох чисел дорівнює 75, а одне з них на 10 більше, ніж друге . Позначивши менше число через х , складіть рівняння, що відповідає даній умові
х+(х+10)=75
х+(х-10)=75
х(х+10)=75
х(х-10)=75
Складіть квадратне рівняння, корені якого дорівнюють 3 і -1
х− 2х^2−3=0
2х^2− 2х +3=0
х^2− 2х −3=0
х^2 + 2х −3=0
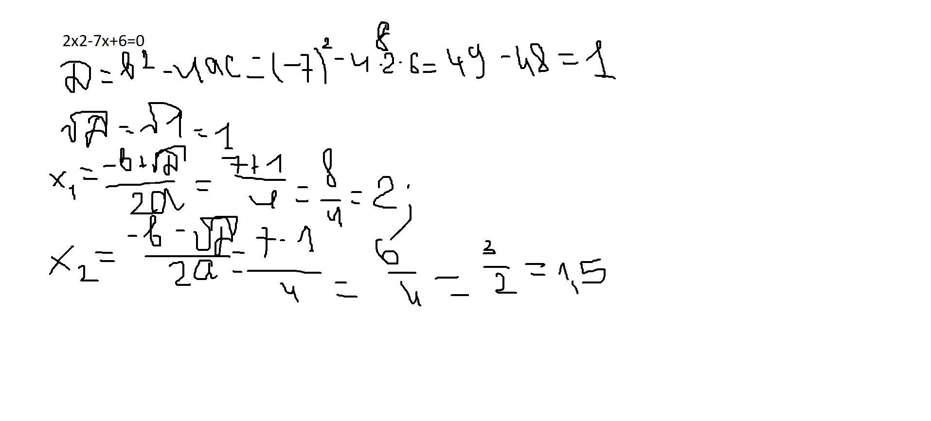
Розв’яжіть рівняння:2x2-7x+6=0.
2; 1,5
не має коренів
2; -1,5
-2; -1,5
Ответы
Автор ответа:
0
Ответ:
внизу
Объяснение:
1) немає коренів,
Пояснення до відповіді:
якщо більше 0 - два різні корені
якщо 0 - один корінь
якщо менше 0- немає кореня
2) пояснення на фото відповідь варіант 1
4 ; -4 ; 2; -2
3) - 3/2 та 2
4) (3х+1)×(х-3)
5) Нехай перше число х, тоді друге х+10
Складемо рівняння:
(10+х)*х=75
10х+=75
+10х-75=0
D=-4ac
D=-4*1*(-75)
D=100-(-300)
D= 400
= (-b+)/2a= (-10+20)/2=5
=(-b-)/2a= (-10-20)/2= -15
6) х^2− 2х −3=0 за теоремою Вієта
7) на фото 2 та 1.5
Приложения:
Похожие вопросы
Предмет: Українська мова,
автор: Odrjbvbn
Предмет: Химия,
автор: dunaivtsi34
Предмет: Химия,
автор: adametken0305
Предмет: Английский язык,
автор: zelenskiuyura