Предмет: Геометрия,
автор: qqKertu
Срочно нужно помогите пожалуйста<3
100 БАЛЛОВ ДАЮ!!!!!!
Приложения:
Ответы
Автор ответа:
0
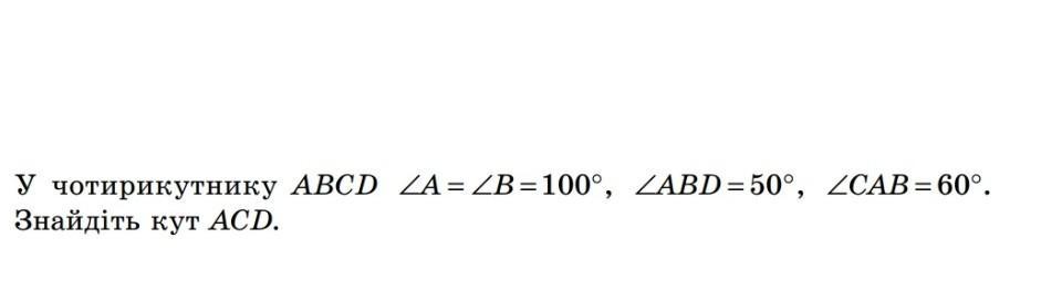
Давайте позначимо кут ACD як x. Зауважимо, що кут LABD = 180° - x, оскільки в сумі кутів в прямокутнику дорівнює 180°. Також ми знаємо, що кути LA і LB дорівнюють 100°.
Застосуємо розгалужену суму кутів в точці A. За цим правилом, сума кутів навколо точки дорівнює 360°. Тому:
LA + LABD + LCAB = 360°
100° + (180° - x) + 60° = 360°
280° - x = 360°
-x = 360° - 280°
-x = 80°
Тепер помножимо обидві сторони на -1, щоб отримати положення x:
x = -80°
Отже, кут ACD дорівнює 80°.
Застосуємо розгалужену суму кутів в точці A. За цим правилом, сума кутів навколо точки дорівнює 360°. Тому:
LA + LABD + LCAB = 360°
100° + (180° - x) + 60° = 360°
280° - x = 360°
-x = 360° - 280°
-x = 80°
Тепер помножимо обидві сторони на -1, щоб отримати положення x:
x = -80°
Отже, кут ACD дорівнює 80°.
Похожие вопросы
Предмет: Английский язык,
автор: asemmamethanova
Предмет: Қазақ тiлi,
автор: abai150615
Предмет: Математика,
автор: melnikdima1105
Предмет: Информатика,
автор: Kot197310Fedor