Предмет: Алгебра,
автор: nikitapavlovsky1220
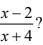
При якому значенні змінної не має змісту вираз
А) 2; Б) 4; В) -2; Г) -4.
Приложения:
Ответы
Автор ответа:
0
Ответ:
Відповідь Г
Объяснение:
Тому що -4-2/-4+4 =-6/0 ,а на 0 ділити не можна
Похожие вопросы
Предмет: География,
автор: nnnn22
Предмет: Биология,
автор: brofoxy900
Предмет: Немецкий язык,
автор: silaalise
Предмет: Математика,
автор: Sosha11
Предмет: Физика,
автор: Аноним