Предмет: Алгебра,
автор: sdfjohisodjf
СРОЧНО!! ДАЮ 50 БАЛЛОВ!!!
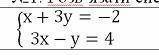
Розв'язати систему рівнянь графічним способом, методом додавання та підстановки
Приложения:
Ответы
Автор ответа:
0
Ответ:
djjdjdjxjxh go r do TTYL TY HSN Judith I
Автор ответа:
0
Ответ:
(x,y)=(1,-1)
Объяснение:
(x,y)=(1,-1)
Приложения:
sdfjohisodjf:
можно с решением?
Похожие вопросы
Предмет: Українська мова,
автор: mrochkorostislav
Предмет: Обществознание,
автор: marselmalyj309
Предмет: Геометрия,
автор: Мозгокошка
Предмет: Окружающий мир,
автор: deli55588
Предмет: Химия,
автор: PeachUnicorn