Предмет: Геометрия,
автор: Димаff
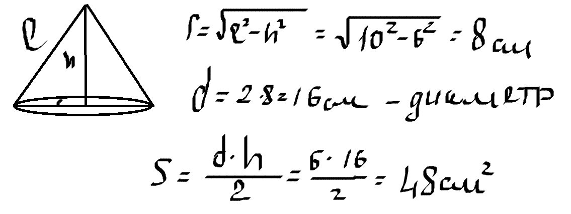
Высота конуса равна 6 см, а образующая 10 см. Найдите площадь осевого сечения угла.
Висота конуса дорівнює 6 см, а твірна 10см. Знайдіть площу осьового перерізу кута.
Ответы
Автор ответа:
0
........................................
Приложения:
Похожие вопросы
Предмет: Математика,
автор: Аноним
Предмет: Литература,
автор: moroshenka0
Предмет: Физика,
автор: chikibamboni008
Предмет: Математика,
автор: про100катеринка