Предмет: Математика, автор: adokmaksimov739

помогите решить дам 50баллов ​

Приложения:

Ответы

Автор ответа: yanaanaanaaa
0

Ответ:

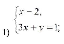
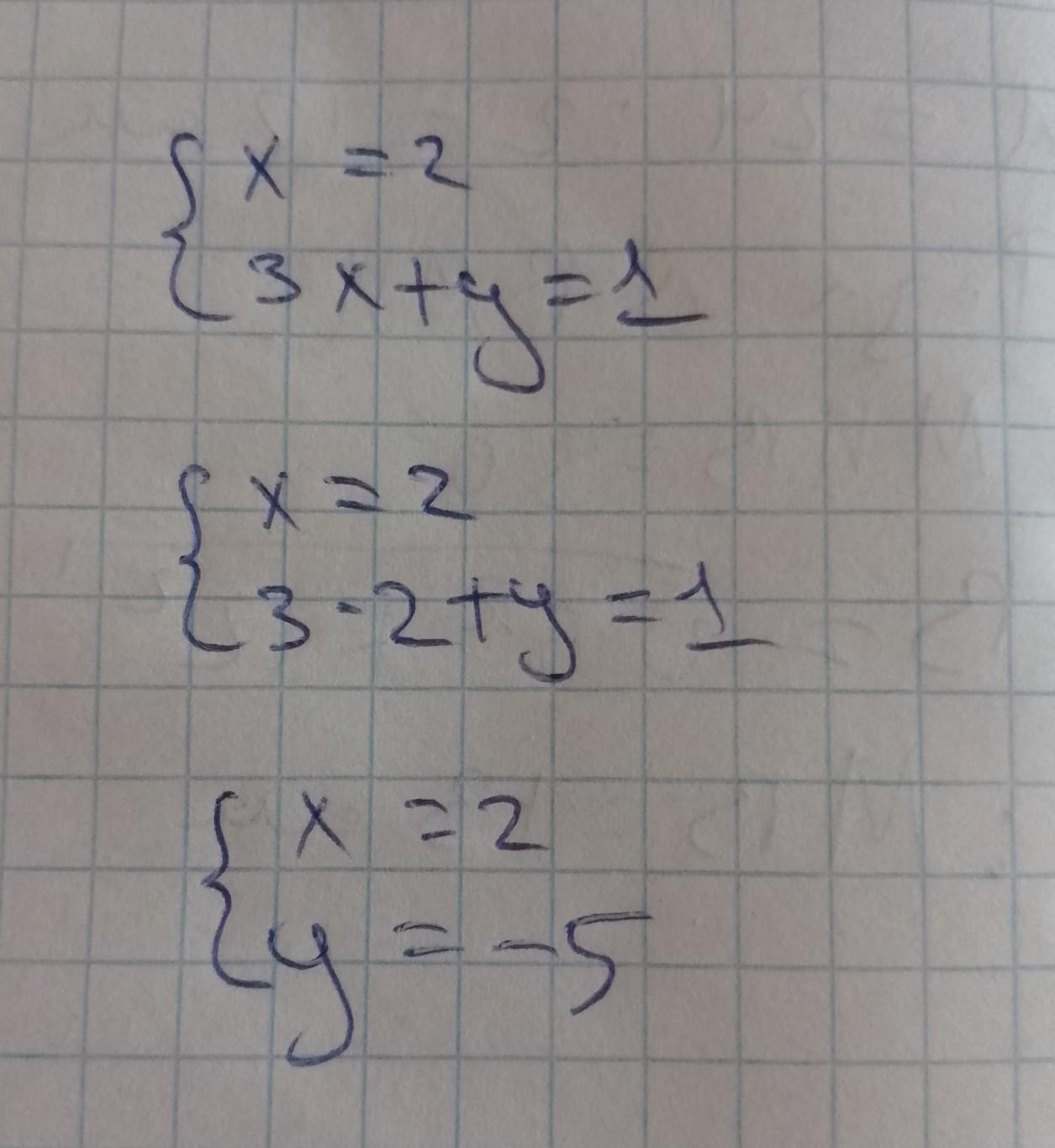
на фото ...............

Приложения:
Похожие вопросы
Предмет: Алгебра, автор: tegizchil1988
Предмет: География, автор: dariahope