Предмет: Алгебра,
автор: galuchok
Помогите пожалуйста!
Даю 30 баллов
Приложения:
Ответы
Автор ответа:
0
Ответ:
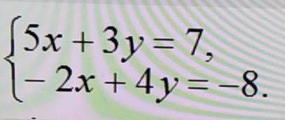
x = -183 .............
26
Объяснение:
y = 27
13
Приложения:
Похожие вопросы
Предмет: Русский язык,
автор: kirakupriyanova
Предмет: Математика,
автор: moldahmetzhanel
Предмет: Литература,
автор: demzz
Предмет: Математика,
автор: sayanaesim
Предмет: Математика,
автор: Evgeharus