Предмет: Математика,
автор: Yememe
Помогите пожалуйста
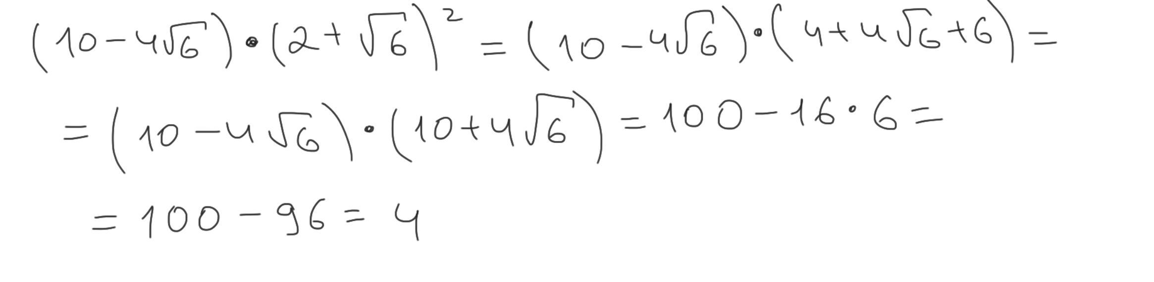
(10-4√6)×(2+√6)²
Ответы
Автор ответа:
1
Ответ:
дай лучший ответ пж
Пошаговое объяснение:
Приложения:
Похожие вопросы
Предмет: Литература,
автор: pilux338
Предмет: Физика,
автор: LHoneyBeeL
Предмет: Математика,
автор: kuznetsovanatali139
Предмет: Информатика,
автор: Edward911
Предмет: Английский язык,
автор: hilewer