Предмет: Алгебра,
автор: lihoje7540
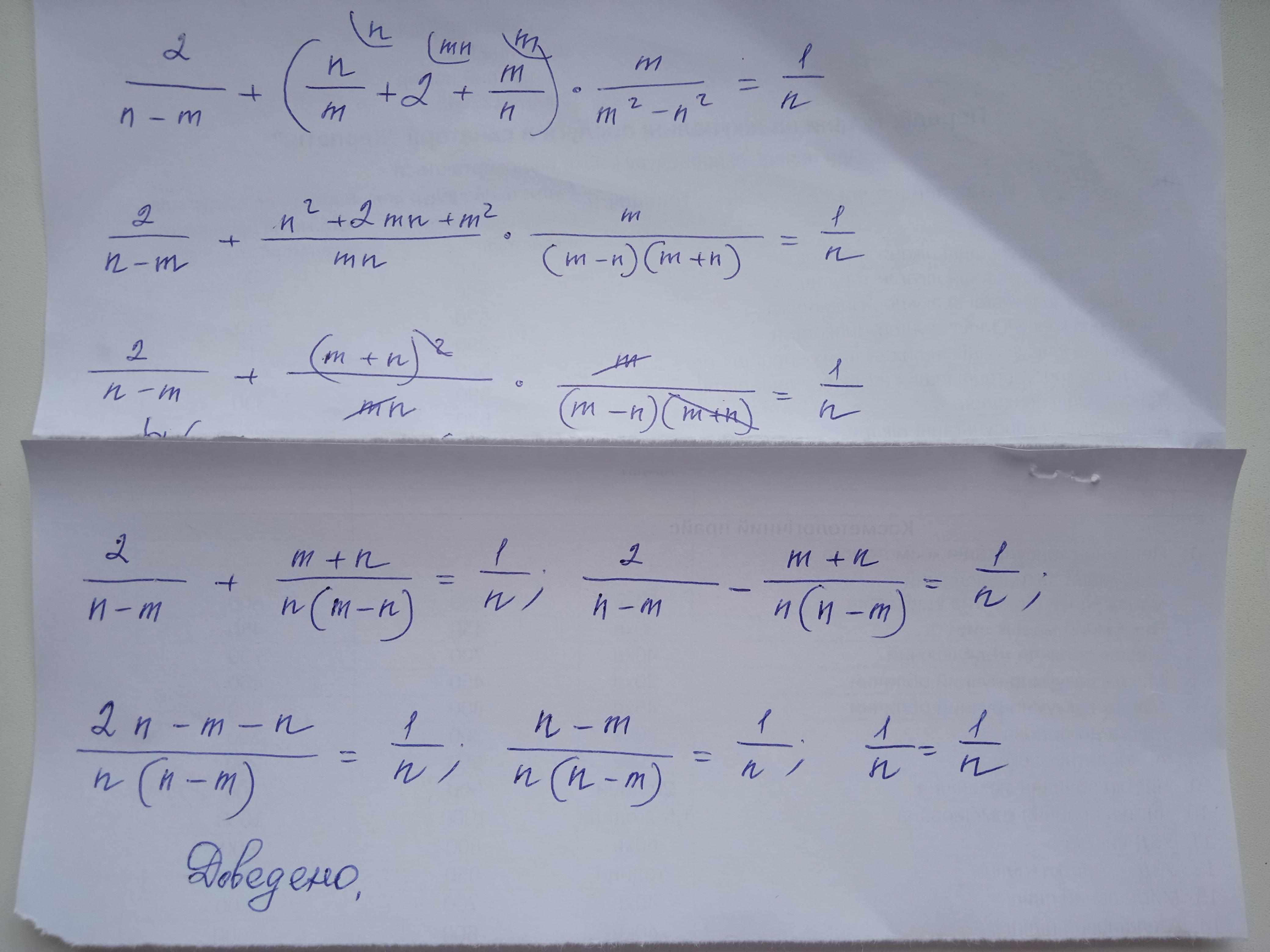
Довести тотожність, приклад на фото
Приложения:
Ответы
Автор ответа:
1
Ответ:
на фото
Объяснение:
Приложения:
Похожие вопросы
Предмет: Математика,
автор: sigalinamadina73
Предмет: Английский язык,
автор: allaviskup02
Предмет: Математика,
автор: f2v4nsvszr
Предмет: Английский язык,
автор: 1LoLKing1
Предмет: Математика,
автор: pervusinkirill6