Предмет: Алгебра,
автор: 4k5rv5n67p
Допоможіть будьласка!!!!!!!
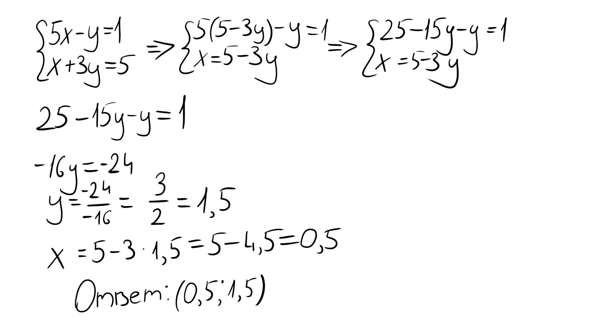
Розв’яжіть систему рівнянь.
Повна відповідь!
Приложения:
Ответы
Автор ответа:
3
Ответ с решением на фото:
Приложения:
Похожие вопросы
Предмет: Алгебра,
автор: angelina01351
Предмет: Математика,
автор: tlbajabylaj020
Предмет: Литература,
автор: zhenichka632
Предмет: Физика,
автор: Mrbulatik