Предмет: Геометрия,
автор: litvinegor582
Очень Срочно даю 100 балов
Приложения:
Ответы
Автор ответа:
0
Ответ:
8
Объяснение:
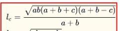
второй острый угол равен 180-(30+90)=60 градусов. косинус 30 градусов = 12/ гипотенузу, косинус 30 градусов равен корень из 3/ 2, методом креста находим что гипотенуза равна 8корней из 3. катет который лежит против угла в 30 градусов равен половине гипотенузы, тоесть 4 корня из 3, по формуле что я прикреплю находим что бисектриса равна 8
Приложения:
Похожие вопросы
Предмет: Алгебра,
автор: deniskopylov151
Предмет: Биология,
автор: zansaaeskendir
Предмет: Химия,
автор: dawa72592
Предмет: Английский язык,
автор: lililiya50
Предмет: История,
автор: kukinatatana35