Предмет: Алгебра, автор: loki917

ДАЮ 100 БАЛЛОВ
УПРОСТИТЕ ВЫРАЖЕНИЕ АЛГЕБРА​

Приложения:

Ответы

Автор ответа: Alnadya
0

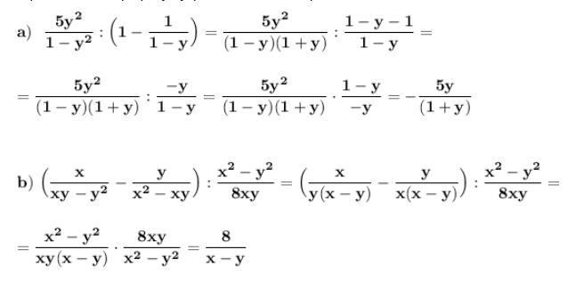
Решение.

Упростить выражение.  

Применяем формулу разности квадратов .

\bf a)\ \ \dfrac{5y^2}{1-y^2}:\Big(1-\dfrac{1}{1-y}\Big)=\dfrac{5y^2}{(1-y)(1+y)}:\dfrac{1-y-1}{1-y}=\\\\\\=\dfrac{5y^2}{(1-y)(1+y)}:\dfrac{-y}{1-y}=\dfrac{5y^2}{(1-y)(1+y)}\cdot \dfrac{1-y}{-y}=-\dfrac{5y}{(1+y)}  

\bf b)\ \Big(\dfrac{x}{xy-y^2}-\dfrac{y}{x^2-xy}\Big):\dfrac{x^2-y^2}{8xy}=\Big(\dfrac{x}{y(x-y)}-\dfrac{y}{x(x-y)}\Big):\dfrac{x^2-y^2}{8xy}=\\\\\\=\dfrac{x^2-y^2}{xy(x-y)}\cdot \dfrac{8xy}{x^2-y^2}=\dfrac{8}{x-y}  

Приложения:

loki917: здоровья тебе
Alnadya: спасибо
Похожие вопросы
Предмет: Математика, автор: agatastaff2012
Предмет: Алгебра, автор: komarnickijandrij592
Предмет: Геометрия, автор: oksanakriukova074