Предмет: Алгебра,
автор: Артура1234
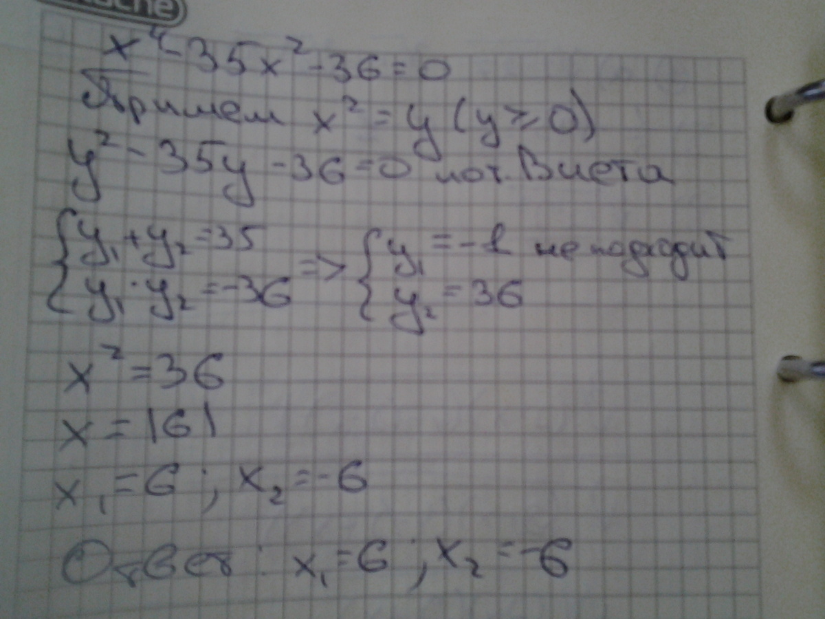
помогите пожалуйста нужно решить биквадратное уравнение:
x в четвертой степени - 35 x квадрат - 36=0
Ответы
Автор ответа:
0
ответ во вложении..........
Приложения:
Автор ответа:
0
Спасибо!:)
Автор ответа:
0
пусть x^2 = t
решаем квадратное уравнение
тогда
Приложения:
Похожие вопросы
Предмет: Математика,
автор: Аноним
Предмет: Химия,
автор: sashabulanda33
Предмет: Физика,
автор: Аноним
Предмет: Математика,
автор: галинаданя
Предмет: География,
автор: Алёнчик166