Предмет: Алгебра,
автор: alexoks1987
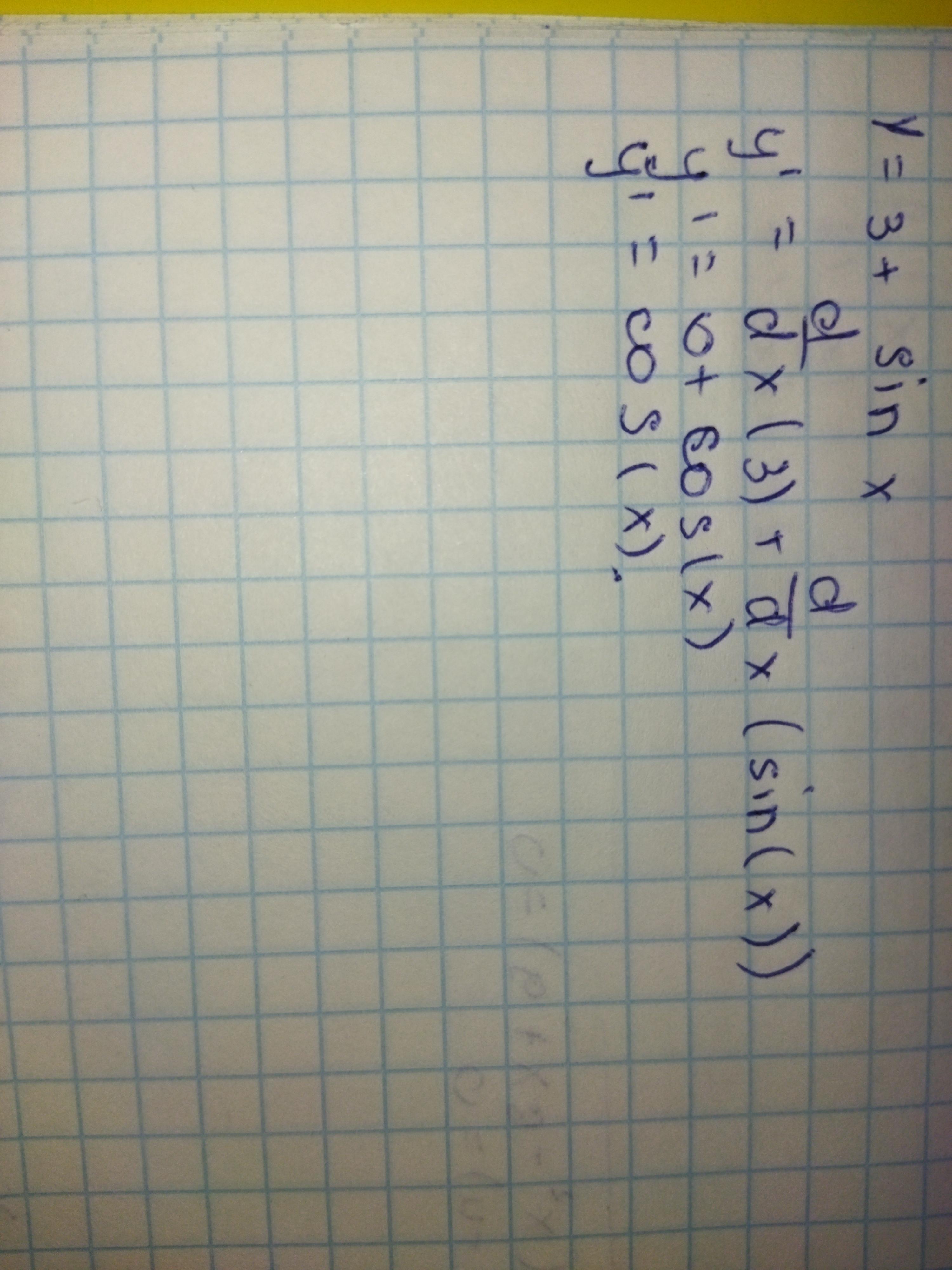
y=3+sinx знайти похідну функції
Ответы
Автор ответа:
0
Відповідь:
Пояснення:
Приложения:
Похожие вопросы
Предмет: Математика,
автор: kapinossovamacha
Предмет: Математика,
автор: nurgaliaruzhan2012
Предмет: Қазақ тiлi,
автор: ajsenovnrasyl
Предмет: Русский язык,
автор: Dmity228
Предмет: Алгебра,
автор: murkacomkate