Предмет: Математика,
автор: abulkhairamirali
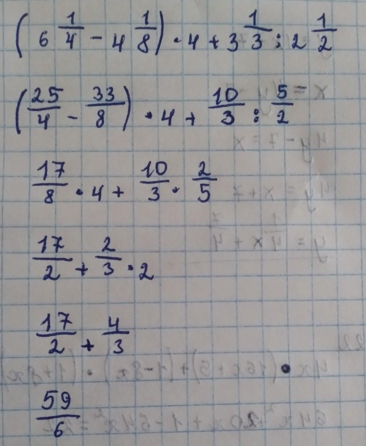
(6 1/4-4 1/8)*4+3 1/3:2 1/2 и т.д
Ответы
Автор ответа:
0
Ответ:
альтернативная форма
9 5/6, 9,83
Приложения:
Похожие вопросы
Предмет: Қазақ тiлi,
автор: toxag808g
Предмет: Геометрия,
автор: rajumbekovaaruzan
Предмет: Английский язык,
автор: ksfldkwke
Предмет: Математика,
автор: dmitrijgulanov989
Предмет: Алгебра,
автор: alena19881656