Предмет: Математика,
автор: margaritabalabutkina
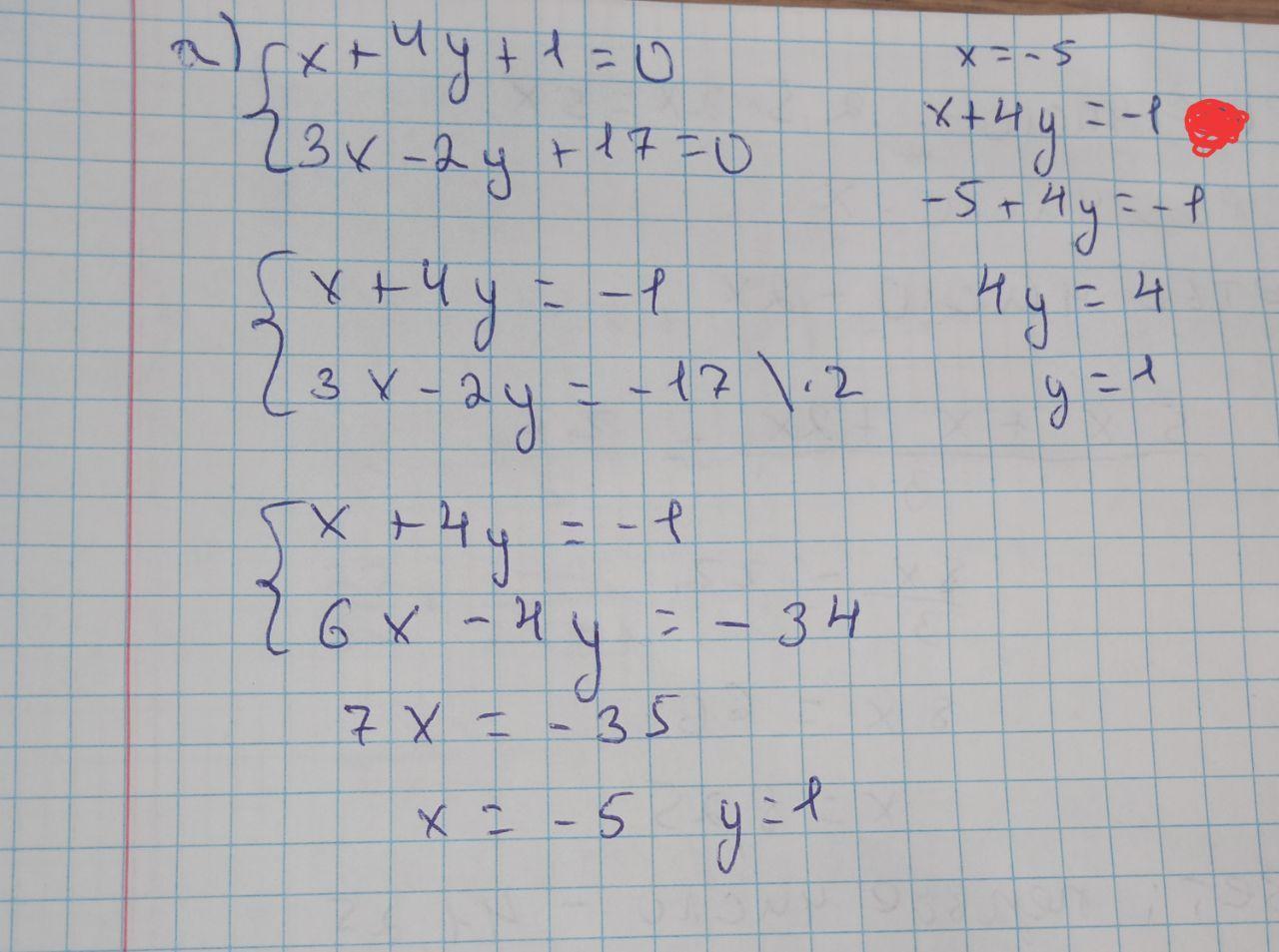
3.Решите уравнение: а)способом сложения { х+4у+1=0 {3х-2у+17=0
Ответы
Автор ответа:
0
Ответ:
Пошаговое объяснение:
Приложения:
Автор ответа:
0
Ответ:
(-5; 1)
Пошаговое объяснение:
{х + 4у + 1 = 0
{3х - 2у + 17 = 0
{х + 4у = -1
{3х - 2у = -17 | * 2
{х + 4у = -1
{6х - 4у = -34
{7х = -35
{х + 4у = -1
1)
7х = -35
х = -35 : 7
х = -5
2)
х + 4у = -1
-5 + 4у = -1
4у = -1 - (-5)
4у = -1 + 5
4у = 4
у = 4 : 4
у = 1
Похожие вопросы
Предмет: Литература,
автор: toptopovuz
Предмет: Українська мова,
автор: eduardviborniy
Предмет: Химия,
автор: zozda2022
Предмет: Другие предметы,
автор: mukhnyukandriy
Предмет: Английский язык,
автор: popkinss17