Предмет: Геометрия,
автор: lilik454
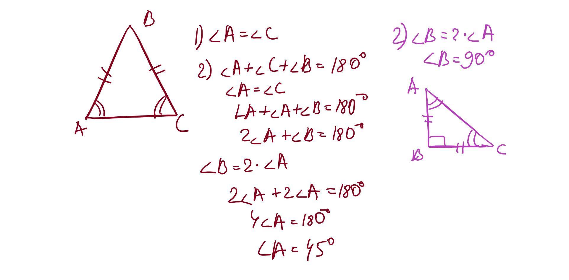
В трикутнику ABC сторони AB та BC рівні між собою. Градусна міра кута при вершині в в два рази більше за градусну міру кожного з кутів А та С. Знайти градусну міру кута при вершині В.
Ответы
Автор ответа:
2
Ответ:
90°
Объяснение:
Приложения:
Похожие вопросы
Предмет: География,
автор: domingroza
Предмет: Химия,
автор: minotavrmm
Предмет: Математика,
автор: allochkazaviyalova
Предмет: Русский язык,
автор: vnikamarik