Предмет: Математика,
автор: Lai0k
Срочно надо написать все в столбик
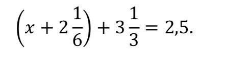
Решите уравнение
Приложения:
Ответы
Автор ответа:
0
Ответ:
надеюсь понятно
........
Приложения:
Автор ответа:
1
Ответ:
Пошаговое объяснение:
x + 2 1/6 = 2,5 - 3 1/3
x + 2 1/6 = -1 1/6
x = -1 1/6 - 2 1/6
x = -3 1/3
Похожие вопросы
Предмет: Биология,
автор: jyliyratsova
Предмет: История,
автор: nastya269000
Предмет: Литература,
автор: Аноним
Предмет: Русский язык,
автор: legendarvedma
Предмет: Русский язык,
автор: rrrrr8759