Предмет: Физика,
автор: FeaZt
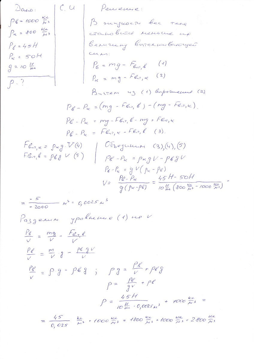
в воде вес куска породы 45Н, а в керосине 50 Н. Определите плотность породы. Плотность керосина 800 кг/м
ребята вообще кароче не могу :С
если что это 7 класс
Ответы
Автор ответа:
0
Решение находится во вложении
Приложения:
Похожие вопросы
Предмет: Английский язык,
автор: hebypeli
Предмет: Геометрия,
автор: zlaayasonya2008
Предмет: Биология,
автор: avtordolbaeb666
Предмет: Физика,
автор: адиль13
Предмет: Право,
автор: Katya3000