Предмет: Алгебра,
автор: t37267984
помогите пожалуйста, дам 25 баллов(задания на фото)
Приложения:
Ответы
Автор ответа:
1
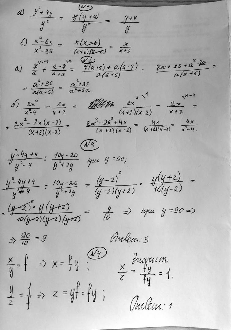
Ответ:
См. ниже
Объяснение:
Приложения:
t37267984:
спасибо огромное !!!
Похожие вопросы
Предмет: Экономика,
автор: karinacom12637
Предмет: Алгебра,
автор: zhaksylykerasyl08
Предмет: Русский язык,
автор: akhudoyberdiev69
Предмет: Английский язык,
автор: esentaevrafael5
Предмет: Биология,
автор: voitovichdashka