Предмет: Математика,
автор: anelyanurlan1984
пожалуйста помогите решить нужно полное решение
Приложения:
Ответы
Автор ответа:
0
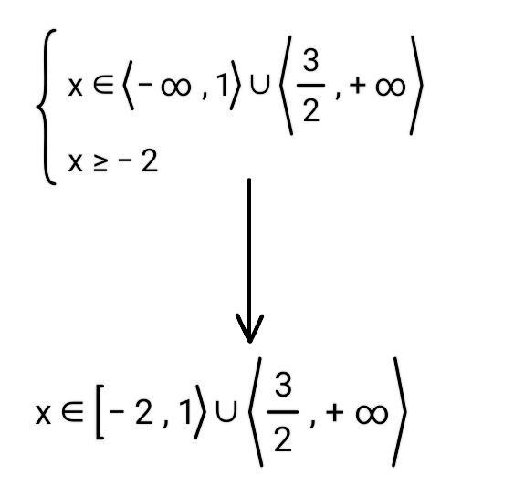
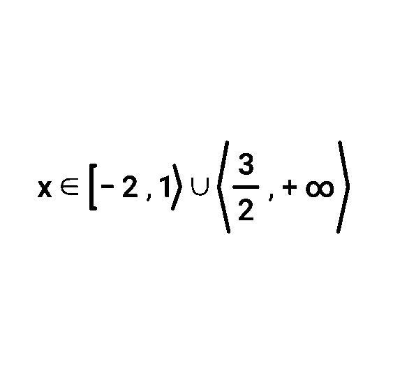
Ответ:
1 фотография решение, фотография–ответ
Приложения:
Похожие вопросы
Предмет: Геометрия,
автор: arabulla228
Предмет: Экономика,
автор: lipolina52
Предмет: Физика,
автор: dmitrryyi
Предмет: Математика,
автор: olgakatrec
Предмет: Алгебра,
автор: vasv9161