Предмет: Математика,
автор: ulanaprigodic77
помогите пожалуйстааааааааааа отдам все
Приложения:
Ответы
Автор ответа:
1
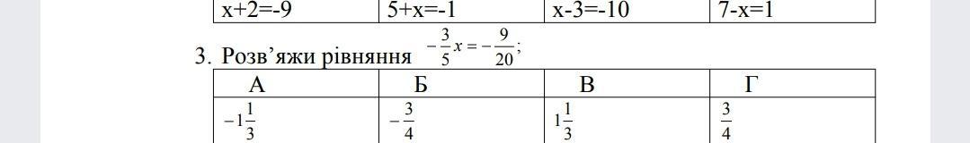
Відповідь:
3/4
Покрокове пояснення:
- 3/5 x = - 9/20
x = - 9/20 : (-3/5)
x = -9/20 • (-5/3)
x = 3/4
ulanaprigodic77:
СПАСИБО
Похожие вопросы
Предмет: Биология,
автор: javi41118
Предмет: География,
автор: romanceclob
Предмет: Литература,
автор: katyagargun
Предмет: Русский язык,
автор: t9620202622
Предмет: Алгебра,
автор: little13evil