Предмет: Математика,
автор: Erliess
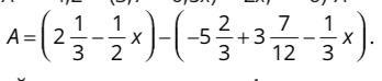
Найдите значение выражения A, если x = -2:
Знайдіть значення виразу A, якщо x = -2:
А=(2 1/3-1/2х)-(-5 2/3+3 7/12-1/3х)
(Я не знаю правильно ли я сделала, прошу помочь)
Приложения:
Ответы
Автор ответа:
0
Ответ:
A = (2 1/3 - 1/2(-2)) - (-5 2/3 + 3 7/12 - 1/3(-2))
A = (2 1/3 + 1) - (-5 2/3 + 3 7/12 + 2/3)
A = 3 1/3 - (-1 1/12)
A = 4 4/12 - 1/12
A = 4 1/3
Пошаговое объяснение:
Похожие вопросы
Предмет: История,
автор: angellinf
Предмет: Математика,
автор: vynychenkoi
Предмет: Английский язык,
автор: dianaviplab
Предмет: Математика,
автор: cvitlanaalla
Предмет: Математика,
автор: brizaveronika