Предмет: Алгебра, автор: TimurSun33gm

ПОМОГИТЕ ПОЖАЛУСТО БИРО НАДО !!!

Приложения:

Ответы

Автор ответа: сок111213
0

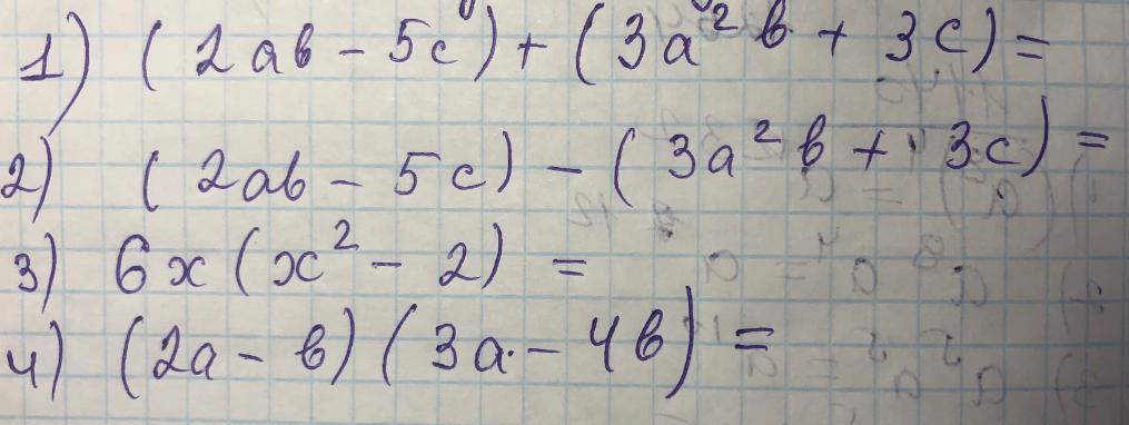
(2ab - 5c) + (3 {a}^{2} b + 3c) = 2ab - 5c + 3 {a}^{2} b + 3c =  \\  = 2ab - 2c + 3 {a}^{2} b

(2ab - 5c)  -  (3 {a}^{2} b + 3c) = 2ab - 5c - 3 {a}^{2} b  - 3c =  \\  = 2ab - 8c - 3 {a}^{2} b

6x( {x}^{2}  - 2) = 6 {x}^{3}  - 12x

(2a - b)(3a - 4b) = 6 {a}^{2}  - 8ab - 3ab + 4 {b}^{2}  =  \\  = 6 {a}^{2}  - 11ab + 4 {b}^{2}

Похожие вопросы