Предмет: Алгебра,
автор: kiziksome
Помогите пожалуйста
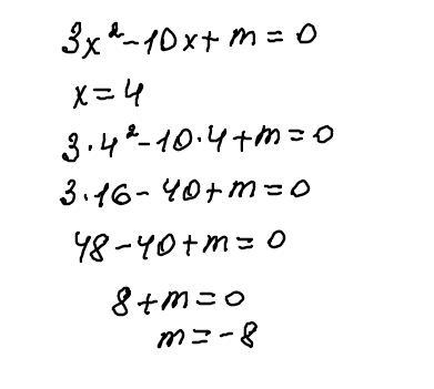
Число 4 є коренем рiвняння 3x² - 10x + m = 0. Знайдіть значення m.
Ответы
Автор ответа:
1
Ответ:
Объяснение: розв'язок на фото
Приложения:
Похожие вопросы
Предмет: Английский язык,
автор: uqwelzy7
Предмет: Информатика,
автор: elizanortven
Предмет: Физика,
автор: timofiy13
Предмет: Английский язык,
автор: проклятие666мертвеца