Предмет: Математика,
автор: kirillkobzar88
ДАЮ 100 БАЛЛОВ, СРОЧНО!!!
Приложения:
Ответы
Автор ответа:
1
Пошаговое объяснение:
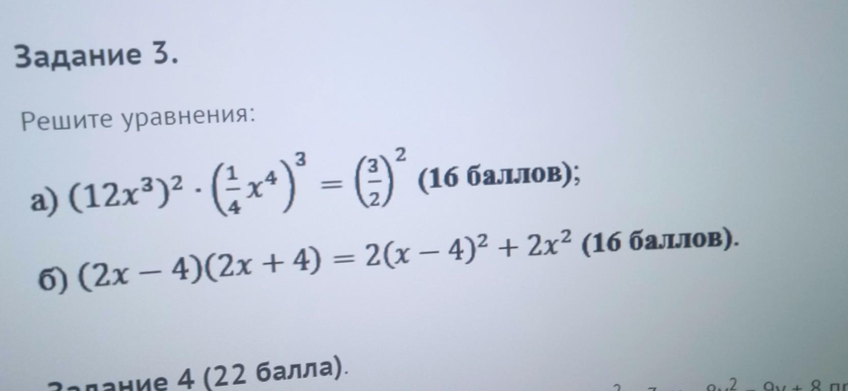
а)
(12х³)² * (1/4х⁴)³ = (3/2)²
144х⁶ * 1/64х¹² = 9/4
144/64х¹⁸ = 9/4
9/4х¹⁸ = 9/4
х¹⁸ = 9/4 : 9/4
х¹⁸ = 1
х = -1
х = 1
б)
(2х - 4)(2х + 4) = 2(х - 4)² + 2х²
4х² + 8х - 8х - 16 = 2(х² - 8х + 16) + 2х²
4х² - 16 = 2х² - 16х + 32 + 2х²
4х² - 16 = 4х² - 16х + 32
-16 = -16х + 32
16х = 32 + 16
16х = 48
х = 48 : 16
х = 3
Похожие вопросы
Предмет: Українська мова,
автор: irabeztalanna
Предмет: Алгебра,
автор: ovlad557
Предмет: Биология,
автор: asmint2011
Предмет: Литература,
автор: 1elinaElinaelina1
Предмет: Українська мова,
автор: Tyyidhucbjyf568347gg