Предмет: Алгебра, автор: Michael12341

Найдите производную функции, фото прикрепил

Приложения:

Ответы

Автор ответа: ludmilaksenija2005
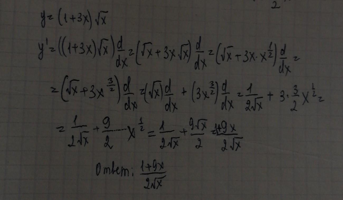
1

Ответ:

(1+9х)/2√х

Объяснение:

решение на фото --------

Приложения:

Michael12341: спасибо вам огромное
Автор ответа: NNNLLL54
1

Ответ:

Производная произведения равна  :   \bf (uv)'=u'v+uv'   .

 \bf y=(1+3x)\, \sqrt{x}\ \ ,\ \ \ \ u=1+3x\ ,\ v=\sqrt{x}\\\\\\y'=(1+3x)'\sqrt{x}+(1+3x)(\sqrt{x})'=\\\\=3\sqrt{x} +(1+3x)\cdot \dfrac{1}{2\sqrt{x}}=3\sqrt{x}+\dfrac{1}{2\sqrt{x}}+\dfrac{3\sqrt{x}}{2}=\dfrac{9}{2}\, \sqrt{x}+\dfrac{1}{2\sqrt{x}}                                        

Приложения:
Похожие вопросы