Предмет: Математика, автор: helphelphelp8

Потрібно проінтегрувати безпосередньо

допоможіть будь ласочка

Приложения:

Ответы

Автор ответа: NNNLLL54
1

Ответ:

Непосредственное интегрирование .

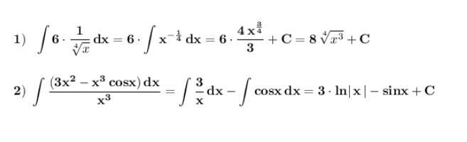
\bf \displaystyle 1)\ \ \int 6\cdot  \frac{1}{\sqrt[4]{x}}\, dx=6\cdot \int x^{-\frac{1}{4}}\, dx=6\cdot \frac{4\, x^{\frac{3}{4}}}{3}+C=8\, \sqrt[4]{\bf x^3}+C\\\\\\2)\ \int \frac{(3x^2-x^3\, cosx)\, dx}{x^3}=\int \frac{3}{x}\, dx-\int cosx\, dx=3\cdot ln|\, x\, |-sinx+C      

Приложения:

helphelphelp8: спасибо большое!
Похожие вопросы
Предмет: Геометрия, автор: ackeviclesa1
Предмет: Обществознание, автор: GGOPEX
ДАЮ 35 БАЛЛОВ ПОМОГИТЕ СРОЧЧЧНООООО


Прочитай фрагмент текста из книги Е. А. Крашенинниковой «Шаг навстречу» и выполни задания к нему
Человеку общение нужнее еды, важнее бытового комфорта и богатства. Оно даёт главное человеку: полноту чувств, душевный комфорт, новые знания и чувство своей социальной полноценности. Нам так надо видеть свою значимость для людей, чувствовать обволакивающее тепло их внимания! Именно поэтому уже с детства надо понимать значение контактов и, главное, уметь выходить из одиночества, разрывать цепи своей замкнутости и изолированности. А для этого можно использовать разные приёмы: помочь другому человеку в минуту затруднения... Всего важнее делать что-то для других и тем самым для себя. И одиночество растает, как сосулька в чашке горячего кофе. Общение — это лекарство от одиночества. Оно одинаково необходимо и юноше и старику.
1. Выпиши из текста слова, в которых содержится оценка автором важности человеческого общения.
2. Автор называет общение лекарством от одиночества. Согласись с этим мнением или опровергни его. Приведи не менее двух аргументов.
3. Какие способы выхода из одиночества ты можешь назвать?