Предмет: Алгебра, автор: direttxq

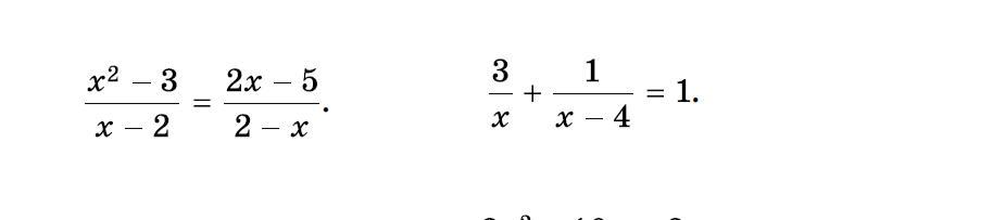
Решите уравнения
На изображении

Приложения:

Ответы

Автор ответа: megapon777
0

Ответ:

1) x=(-4); 2) x=6, x=2

Объяснение:

В первом уравнении х=(-4)

А во втором уравнении x=6 и x=2

Вот)))


megapon777: всмысле я
Автор ответа: germiona99
1

Ответ:

Смотрите решение на фото

Приложения:

direttxq: спасибо
Похожие вопросы
Предмет: Литература, автор: nazarmancenko11
— Як ти співаєш, Півне, веселенько... — А ти, Зозуленько, ти, зіронько моя, Виводиш гарно так і жалібненько, Що іноді аж плачу я... Як тільки що почнеш співати, Не хочеться й пшениченьки клювати,- Біжиш в садок мерщій... — Тебе я слухала б довіку, куме мій, Аби б хотів співати... — А ти, голубонько, ти, кралечко моя, Поки співаєш на калині, То й весело мені, і забуваю я Свою недоленьку, життя своє погане Та безталанне... А тільки замовчиш Або куди летиш,- Заниє серденько, неначе на чужині... І їстоньки — не їм, і питоньки — не п'ю Та виглядаю все Зозуленьку мою. Як гляну на тебе — така ти невеличка, Моя перепеличко, А голосочок-то який!.. Тонесенький, милесенький такий... Куди той соловей годиться? — Спасибі, братику, за добреє слівце. Як не кохать тебе за це?.. І ти виспівуєш, неначе та жар-птиця; І далебі, що так,— пошлюся я на всіх.- Де взявся Горобець, підслухав трохи їх Та й каже: — Годі вам брехати Та одно другого знічев'я вихваляти! — Пурхнув — та й був такий. За що ж,— хто-небудь попитає,- Зозуля Півня вихваляє? За те, що Півень годить їй Та потакати добре вміє: Рука, як кажуть, руку миє.

Прочитати і зробити сенкан Півень і Зузуля

даю 30 б
будь ласка поможіть

Сенкан
1 іменик
2 прикметника
3 дієслова
речень фраза із чотирьох слів
1 синонім ​

будь ласка