Предмет: Алгебра,
автор: 2Elizabeth2
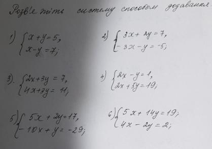
Срочно надо решить системи способом додавання дам 60 балов
Приложения:
Ответы
Автор ответа:
1
Відповідь:
Пояснення:
1)x+y+x-y=5+7
2x=12
x=6
6+y=5
y=-1
2)3x+2y-3x-y=7-5
y=2
3x+4=7
3x=3
x=1
3)8x+12y-8x-6y=28-22
6y=6
y=1
2x+3=7
2x=4
x=2
4)-2x+y+2x+5y=-1+10
6y=9
y=1.5
2x-1.5=1
2x=2.5
x=1.25
5)10x+4y-10x+y=34-29
5y=5
y=1
5x+2=17
5x=15
x=3
6)20x+56y-20x+10y=76-10
66y=66
y=1
5x+14=19
5x=5
x=1
2Elizabeth2:
большое спасибо бистро перепишу и пойду гулять
только в 4 19 а не 10
5 не правильно там 19 а е 10
в 4 ошибка не в 5
Похожие вопросы
Предмет: Математика,
автор: Natalija82
Предмет: Немецкий язык,
автор: axaxaxaxaxaxxxaaxaxs
Предмет: Алгебра,
автор: evgenponomarenko172e
Предмет: Биология,
автор: leruhasv
Предмет: Українська мова,
автор: zdrokolya1