Предмет: Алгебра,
автор: sofiaivaniv357
до поможіть будь ласка
Приложения:
Ответы
Автор ответа:
1
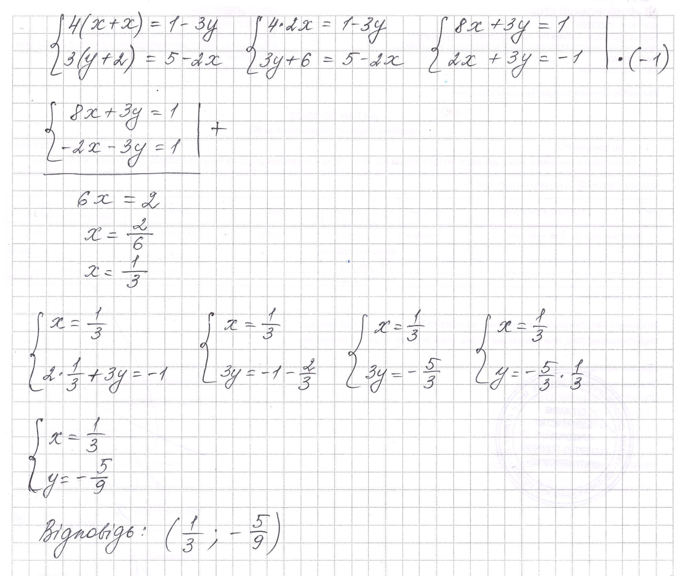
Розв'язання надано на фото
Приложения:
Похожие вопросы
Предмет: Русский язык,
автор: Аноним
Предмет: Қазақ тiлi,
автор: aslanahtanov03
Предмет: Українська література,
автор: sasaakylonok
Предмет: Алгебра,
автор: nikitarnikit
Предмет: Математика,
автор: vika90870