Предмет: Алгебра,
автор: milfakk8
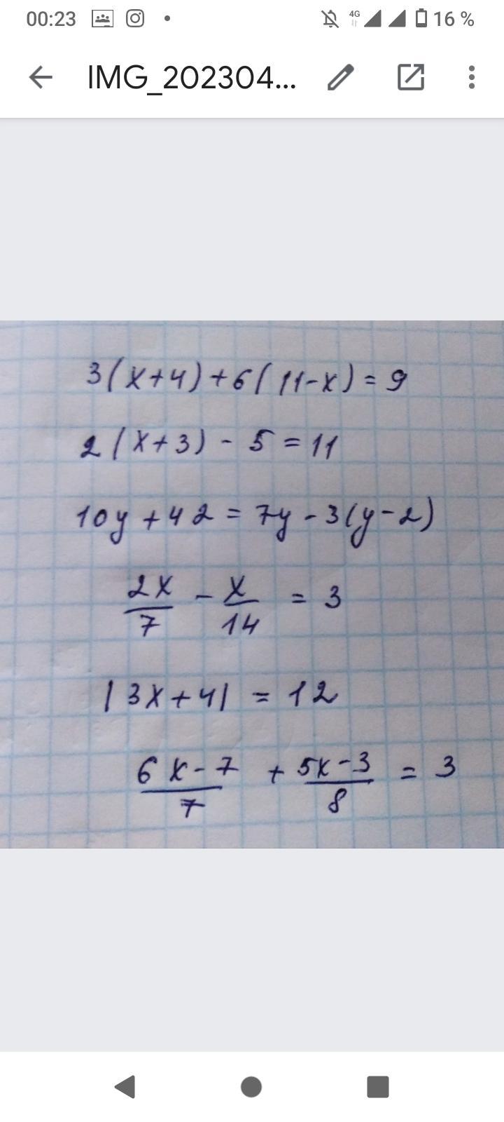
Допоможіть розв'язати рівняння
Приложения:
Ответы
Автор ответа:
0
Ответ:
ввв`вввввввооо|ооооооотттттттт
Приложения:
Автор ответа:
0
1. 3(х+4)+6(11-х)=9
3х+12+66-6х=9
-3х=9-12-66
-3х=-69
х=23
2. 2(х+3)-5=11
2х+6-5=11
2х=10
х=5
10у+42=7у-3(у-2)
10у+42=7у-3у+6
6у=-36
у=-6
Похожие вопросы
Предмет: Английский язык,
автор: skoobi138
Предмет: Физика,
автор: aleksandrslobodanik2
Предмет: История,
автор: ayanakikk8
Предмет: Математика,
автор: Demon22226
Предмет: Українська література,
автор: ncherdakova10