Предмет: Алгебра,
автор: lazylanchy
ДАЮ 100 БАЛЛОВ СРОЧНОООО
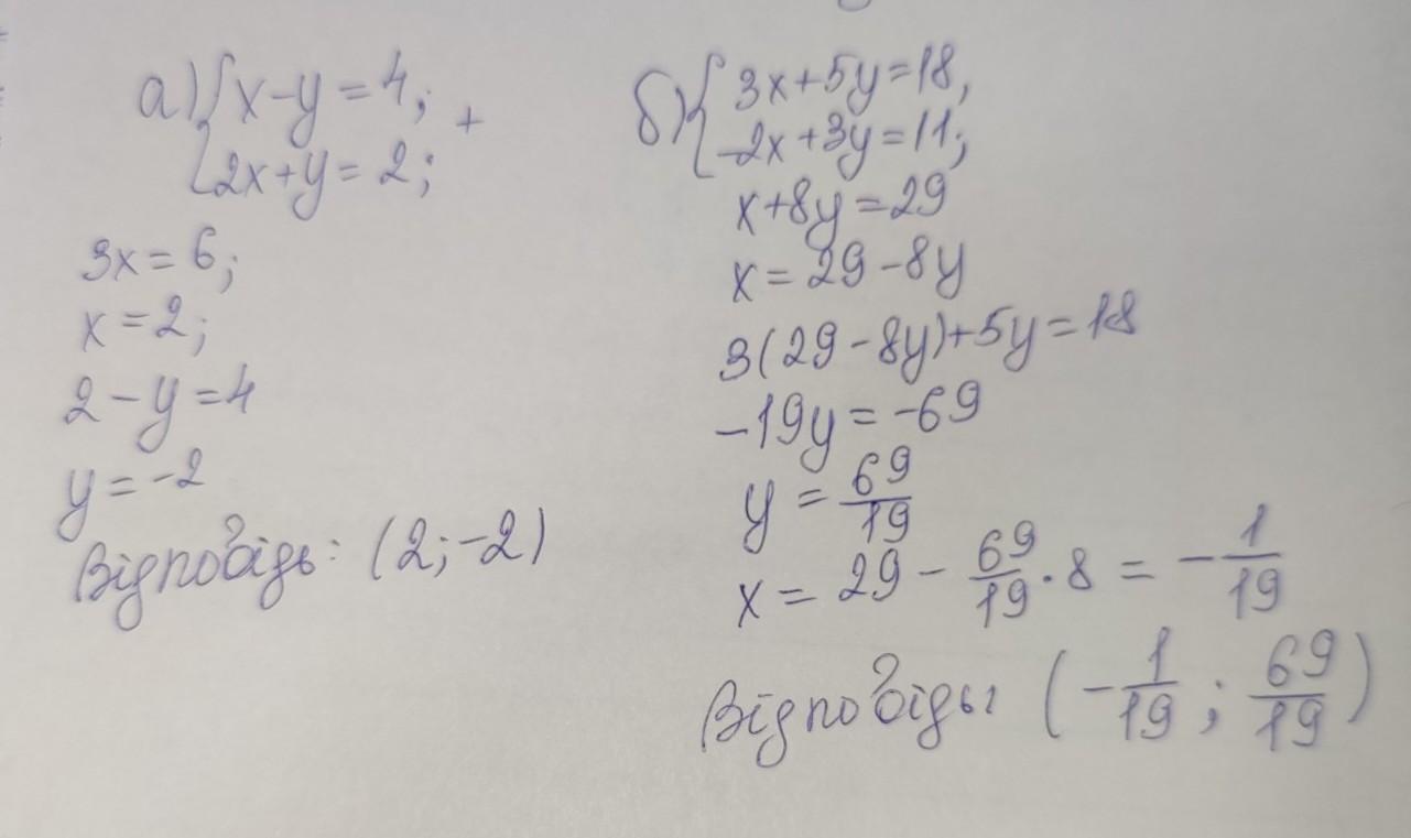
Розв'яжи систему двох лінійних рівнянь способом додавання. а) {x - y = 4, 2x+y=2;
б) {3x+5y=18, -2x+3y=11
Ответы
Автор ответа:
2
Ответ: а) (2; -2); б) (-1/19; 69/19).
Решение на фото
Приложения:
foxmix6758:
2 неправильно
Правильно
Автор ответа:
1
Объяснение:
а)
{х - у = 4
{ 2х + у = 2
{3х = 6
{х - у = 4
1)
3х = 6
х = 6 : 3
х = 2
2)
х - у = 4
2 - у = 4
у = 2 - 4
у = -2
(2; -2)
б)
{3х + 5у = 18 | * 2
{-2х + 3у = 11 | * 3
{6х + 10у = 36
{-6х + 9у = 33
{19у = 69
{6х + 10у = 36
1)
19у = 69
у = 69/19
у = 3 12/19
2)
6х + 10у = 36
6х + 10 * 69/19 = 36
6х + 690/19 = 36
6х + 36 6/19 = 36
6х = 36 - 36 6/19
6х = -6/19
х = -6/19 : 6
х = -6/19 * 1/6
х = -1/19 * 1/1
х = -1/19
Похожие вопросы
Предмет: Другие предметы,
автор: tyrkestanovamensly
Предмет: Алгебра,
автор: nmalinka80
Предмет: Українська мова,
автор: alexandraromanukova
Предмет: Алгебра,
автор: dengorbunov20064
Предмет: Математика,
автор: vthd