Предмет: Математика, автор: Matheye

Найдите отношение произведения -3 4/7 × 1 3/11 к произведению 4,8×(-2,5) срочно пж ​

Ответы

Автор ответа: tetamotatetyamotya
0

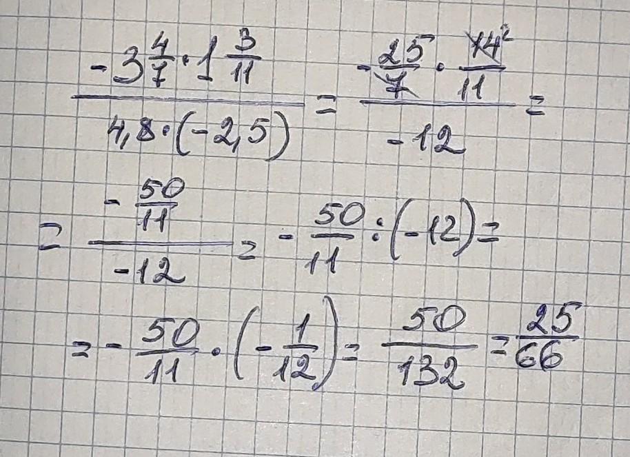
Ответ:

...........

Пошаговое объяснение:

...............

Приложения:

Matheye: спс выручили
tetamotatetyamotya: пожалуйста♥️
Похожие вопросы
Предмет: Физика, автор: zhacotoremuratov
Предмет: Английский язык, автор: Аноним
Предмет: Математика, автор: guliganieva05
Предмет: Математика, автор: primova07