Предмет: Алгебра, автор: zvoi1250

Можете сделать задание : Решите способом добавления систему уравнений: ( спам ,нейросети = жалоба)

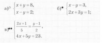
Приложения:

Ответы

Автор ответа: experced
1

\displaystyle \left \{ {{x+y=8} \atop {x-y=2}} \right. \\x+x+y-y=8+2\\2x=10\\x=5= > y=3

\displaystyle\left \{ {{x-y=3|\times(-2)} \atop {2x+3y=1}} \right. \\\\\displaystyle\left \{ {{-2x+2y=-6} \atop {2x+3y=1}} \right.\\2x-2x+2y+3y=-6+1\\5y=-5\\y=-1= > x=2

\displaystyle\left \{ {{\dfrac{2x+1}{5} =\dfrac{y-1}{2} } \atop {4x+5y=23}} \right. \\\\\left \{ {{2(2x+1)=5(y-1)} \atop {4x+5y=23}} \right. \\\\\left \{ {{4x+2=5y-5} \atop {4x+5y=23}} \right. \\\\\left \{ {{4x-5y=-7} \atop {4x+5y=23}} \right. \\\\4x+4x-5y+5y=23-7\\8x=16\\x=2= > y=3


zvoi1250: вопрос у меня ,в 2 заданий , что это написанно - у= 3/ и эта палочка?
MiguelHayakawa: твой тоже не блещет, после y нужно подставить его во второе уравнение, затем умножить две части на 10 чтобы избавится от дробей, раскрываем скобки и получается: 40x + 20x + 35 = 230, затем 60x = 195, а это значит что x = 13/4 . Так что ты тут тоже нарешал, тебе стоит отдохнуть от математики. Почему ты всегда дробей избегаешь, они являются самым точным способом выразить значение)
experced: там спрашивали, во 2 задании вот эта "палочка" | показывает что я умножил на -2 всё уравнение. а что касаемо третьего, что-то ты путаешь. домножили на 10, откуда ты там берешь 40х да еще 20х, либо распиши подробнее, либо завершаем дискуссию. а если у тебя сомнения в ответе, просто подставь мои х и у в систему
MiguelHayakawa: Я тут по размыслил, и твой неправильный вообще 23=23 НЕДОСТАТОЧНО чтобы быть ответом. x = 2 и y = 3 не удовлетворяют обоим уравнениям системы.
Решением системы должны быть такие значения x и y, которые удовлетворяют обоим уравнениям одновременно. Таких значений может быть одно, несколько или ни одного.
MiguelHayakawa: В данном случае, твои ОБА значений неправильный и единственное решение системы: x = 13/4 и y = 2. Эти значения подходят и для первого, и для второго уравнения, проверь сам.
Реально, тебе стоит бросить алгебру, может начни изучать гуманитарию, там эссе всякие писать школьникам...
experced: изучаем математику 2 класса. 1 уравнение: 2*2+1=5/5=1; 3-1=2/2=1; 1=1. 2 уравнение: 4*2=8; 5*3=15; 15+8=23; 23=23. или может и тут я ошибся)
experced: или типо 13/4 *4 - 5*2 будет равно -7?
experced: как же тебе трудно наверное жить с 9 классами образования
Похожие вопросы
Предмет: Другие предметы, автор: niginanigmatzhanova
Для рассуждения Когда Азиз стал чемпионом Азии по таэквондо, он с гордостью сказал своему деду: «Дедушка, я самый сильный. Я чемпион среди своих сверстников». Дед ответил: «Молодец, внучек, это результат твоего труда. Но сильный человек - это не тот, кто побеждает всех, сильный тот, который побеждает себя, побеждает свой гнев, кто может обуздать его». Слова дедушки хорошо запомнились Азизу. Бахром, вспоминая спокойную реакцию Азиза, испытывал угрызения совести. Позже он подошёл к Азизу и сказал: «Прости, друг, я был не прав». 4 творческая работа 1. Как вы думаете, какую плохую привычку или качество Бахрому нужно обуздать в себе? Какой совет вы бы дали Бахрому? 2. Как вы понимаете идею: «В каждом деле чувство ответственности при достижении цели ограждает от различных недоразумений»? Обоснуйте своё мнение. 3. Вы взялись за новое дело. В какой степени будете опираться на ха- рактер и дисциплину? Почему?​
Предмет: Алгебра, автор: sajow
Предмет: Математика, автор: ktereshin82