Предмет: Алгебра,
автор: rolek1395
................................,.
Приложения:
Ответы
Автор ответа:
0
Ответ:
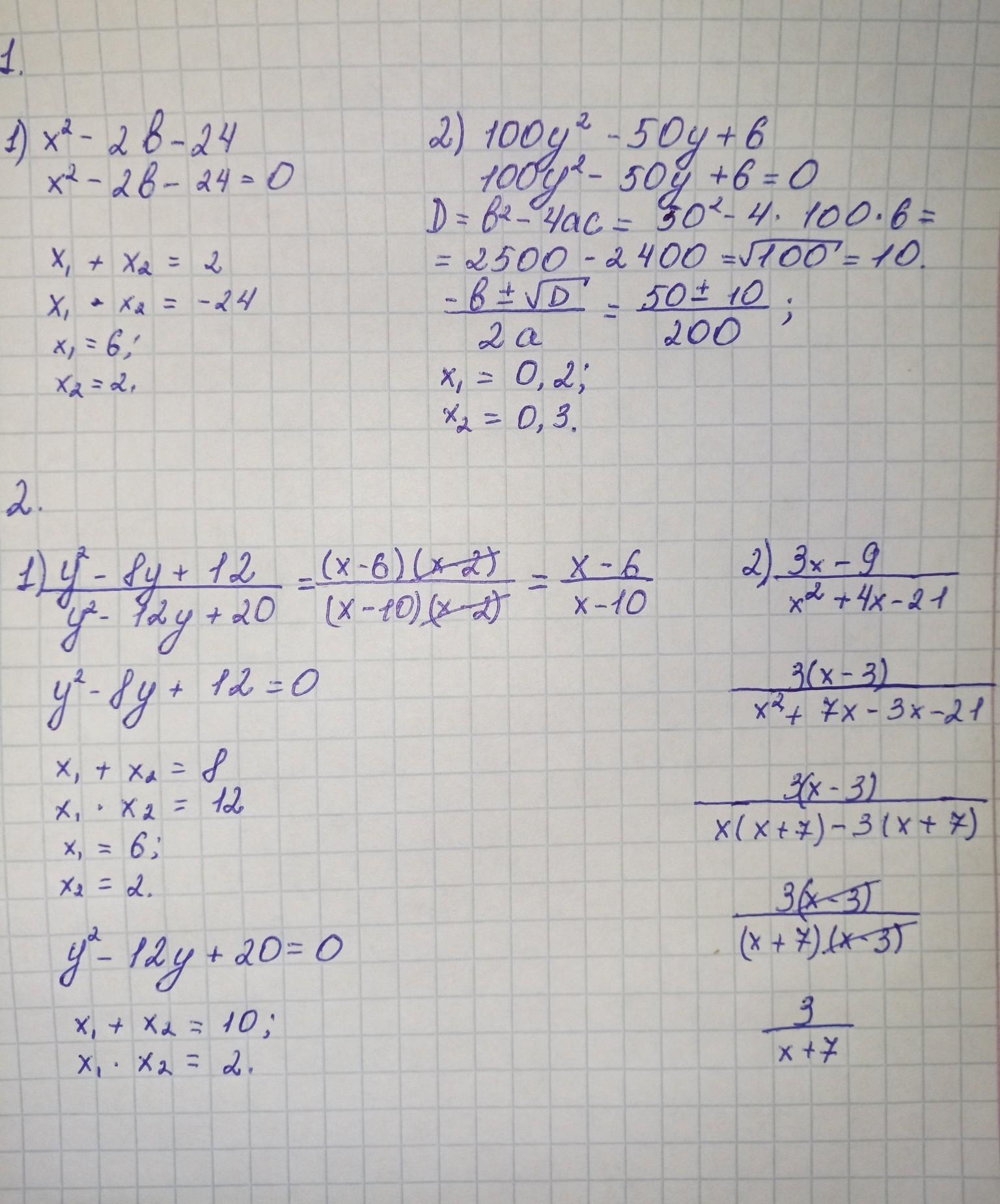
відповідь на фотографії
Приложения:
Похожие вопросы
Предмет: Математика,
автор: shamesalali55
Предмет: География,
автор: Black1King
Предмет: Химия,
автор: bursakovalubov38
Предмет: Английский язык,
автор: holodmaria3
Предмет: Английский язык,
автор: Vesna163