Предмет: Алгебра,
автор: kharkovskayaviktoria
помогите пожалуйста
Приложения:
Ответы
Автор ответа:
1
Ответ:
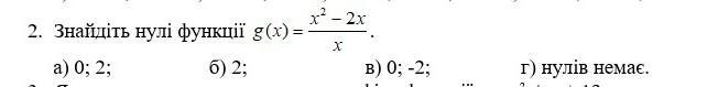
Відповідь: б)2 тому, що ↓↓↓
Объяснение:
x<0
x>0
Похожие вопросы
Предмет: Математика,
автор: polixwqqqtry
Предмет: Алгебра,
автор: oleksandratkacuk42
Предмет: Физика,
автор: pupil5v292020
Предмет: Математика,
автор: vlsumesova
Предмет: Алгебра,
автор: Аноним