Предмет: Алгебра,
автор: chemeeen
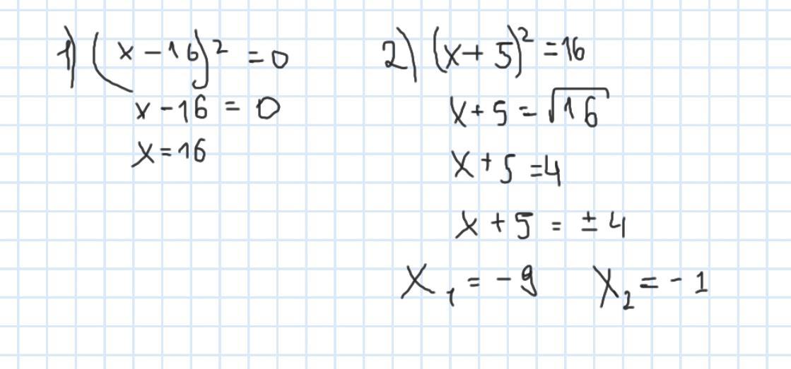
Розв'яжіть рівняння
1) (x-16)²=0
2) (х+5)²=16
Ответы
Автор ответа:
1
Ответ:
дай лучший ответ пж
Объяснение:
Приложения:
Автор ответа:
1
Ответ:
1) 16 2) x1 = -9 x2 = -1
Объяснение:
1) (x- 16)²= 0
x - 16 = 0
x = 16
2) (x+5)² = 16
x+5 = +-4
x+5 = -4
x = -5-4
x1= -9
x+5 =4
x=4-5
x2= -1
Похожие вопросы
Предмет: Физика,
автор: beshlievajeyran
Предмет: Биология,
автор: Аноним
Предмет: Қазақ тiлi,
автор: e17411955
Предмет: Литература,
автор: diana20192009
Предмет: География,
автор: 1Dreamer