Предмет: Алгебра,
автор: falingveronika
Обчислить значение виразу √x-1 при х-2
Ответы
Автор ответа:
0
Ответ:
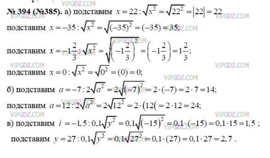
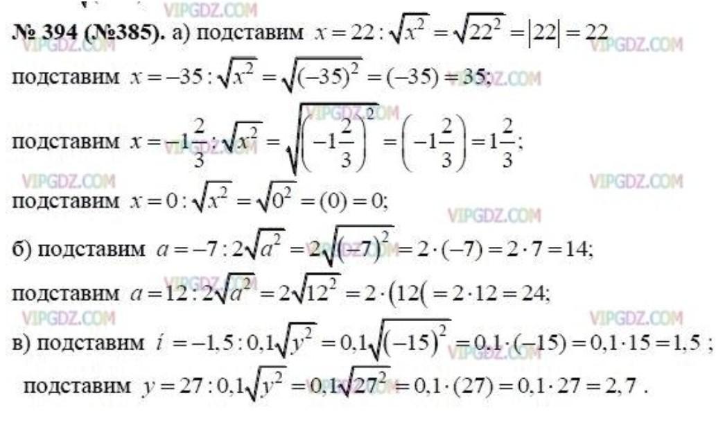
вот
Объяснение:
))))....))))))))))
Приложения:
Автор ответа:
0
Відповідь:
1
Пояснення:
Похожие вопросы
Предмет: История,
автор: Aibike037hdhdbevr
Предмет: Биология,
автор: superchipa2010
Предмет: Русский язык,
автор: haareee01
Предмет: История,
автор: fediukevuch1605