Предмет: Алгебра, автор: Аноним

Алгебра. Даю 100 балів. потрібно вирішити завдання з максимальним поясненням щоб було усе зрозуміло будь ласка.

з дуже детальним поясненням будь ласка

Приложения:

Ответы

Автор ответа: NNNLLL54
1

Ответ:

\bf 1)\ \ \ A(\, 3\, ;\, 1\, )\ ,\ \ O(-2\, ;\, 1\, ) - центр окружности .

Радиусом окружности будет отрезок ОА . Найдём его длину.

\bf R=OA=\sqrt{(3+2)^2+(1-1)^2}=\sqrt{5^2}=5  

Уравнение окружности с центром в точке О и  R=5 имеет вид

\bf (x+2)^2+(y-1)^2=25  

Ответ:  Б) .

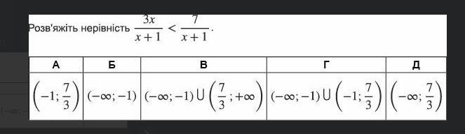
2)  Решить неравенство .

\bf \dfrac{3x}{x+1} < \dfrac{7}{x+1}\ \ \ ,\ \ \ \dfrac{3x}{x+1}-\dfrac{7}{x+1} < 0\ \ ,\\\\\\\dfrac{3x-7}{x+1} < 0\ \ ,\ \ x\ne -1  

Нули функции :  \bf x=\dfrac{7}{3}   .  Расставим знаки на интервалах :

\bf +++(-1)---(\frac{7}{3})+++  

Выбираем промежуток со знаком меньше .

Ответ: A) ,    \bf x\in \Big(-1\ ;\ \dfrac{7}{3}\ \Big)   .

3)  Находим среднее арифметическое данных из таблицы. И приравняем полученное выражение к заданному .

\bf \dfrac{2\cdot 1^\circ +3\cdot 3^\circ +4\cdot 4^\circ +1\cdot x^\circ }{2+3+4+1}=\dfrac{27^\circ +x^\circ }{10}\\\\\\\dfrac{27^\circ +x^\circ }{10}=3,5^\circ \ \ \ \Rightarrow \ \ \ \ 27^\circ +x^\circ =35^\circ \ \ ,\ \ \ x^\circ =35^\circ -27^\circ \ \ ,\ \ \ x=8^\circ  

Ответ: Г) .

Автор ответа: ludmilaksenija2005
1

Объяснение:

1.

уравнение окружности с центром О(-2;1) и радиусом r :

(x+2)²+(y-1)²=r²

A(3;1) принадлежит окружности,то

(3+2)²+(1-1)²=r²

5²+0²=r²

25=r²

r=√25=5

ответ: Б

2.

3х/(х+1)<7/(х+1) ; х≠ -1

3х/(х+1)-7/(х+1)<0

(3х-7)/(х+1)<0

3х-7<0 3х-7>0

х+1>0 х+1<0

х<7/3 х>7/3

х> -1 х< -1

перес:х∈ (-1;7/3). перес: ø

обьед: х∈(-1;7/3) ; х≠ -1

х∈(-1;7/3)

ответ: А

3.

(1•2+3•3+4•4+х•1)/10=3,5

(2+9+16+х)/10=3,5

(27+х)/10=3,5

27+х=35

х=8

ответ: Г

Похожие вопросы
Предмет: Литература, автор: maksimzuravel01
Предмет: Английский язык, автор: ebatsy