Предмет: Алгебра,
автор: alymovasveta1
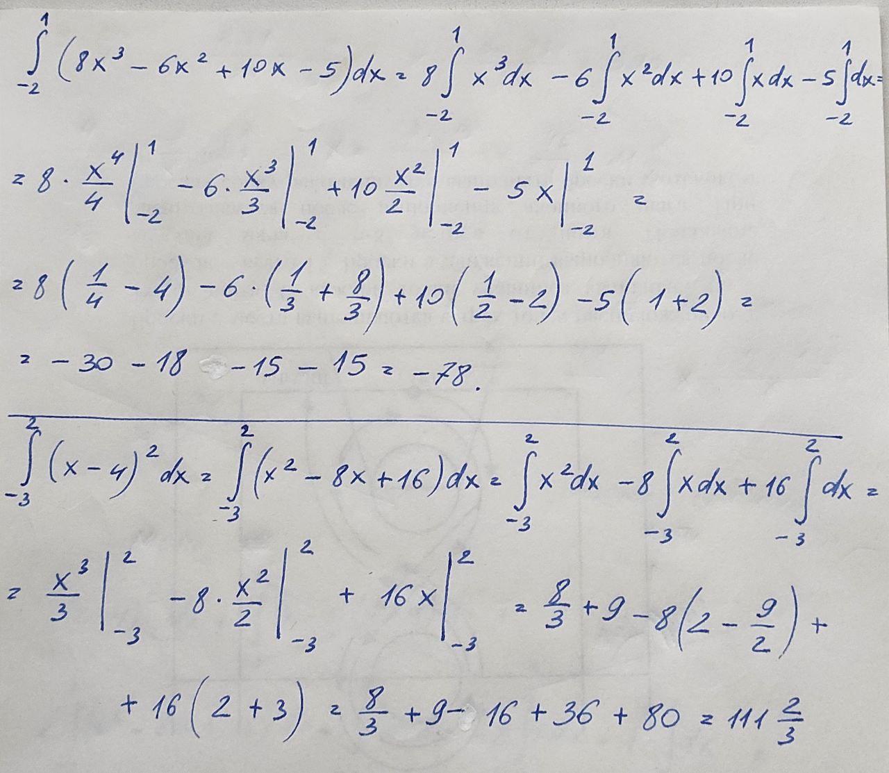
Помогите решить 1 и 2. 50 балов
Приложения:
Ответы
Автор ответа:
1
Ответ:
Решение на фото. Набирать встроенным редактором неудобно
Объяснение:
Приложения:
Похожие вопросы
Предмет: Химия,
автор: dostoevskij645
Предмет: Українська література,
автор: mfqwt
Предмет: Английский язык,
автор: yuliia777ks
Предмет: Литература,
автор: idiiddi
Предмет: Математика,
автор: Kibernomi1