Предмет: Математика,
автор: haroshiy228
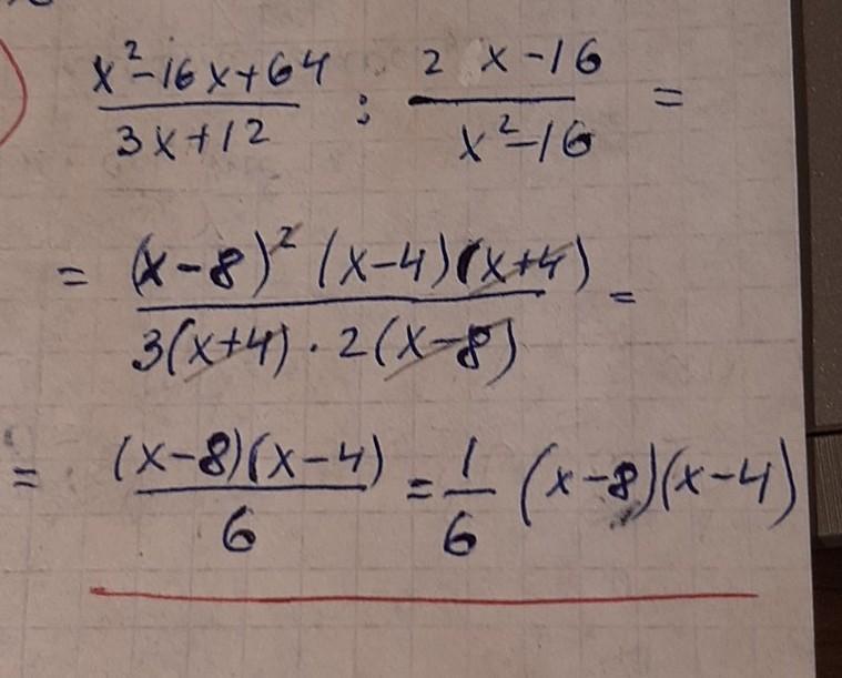
Решите второй ответ нужен первый нашел ответ а второй нет там два ответа нужно
Приложения:
parus77:
если первый ответ нашли правильно,то второй ответ в последней строчке,там где 1/6 умножается на числитель.
Ответы
Автор ответа:
1
Решение на прикреплённой фотографии
Приложения:
Похожие вопросы
Предмет: Английский язык,
автор: svetasaghately22
Предмет: Русский язык,
автор: gulaitatarova29
Предмет: История,
автор: Lemon120424
Предмет: Математика,
автор: akanivec8
Предмет: Українська мова,
автор: remm67299