Предмет: Алгебра,
автор: SsInostrankasS
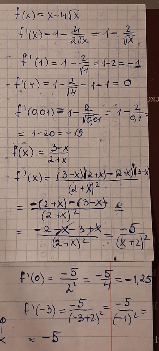
Знайдіть значення похідної функції f(x) у вказаних точках
f(x) = x - 4√x; x= 1; 4; 0,01
f(x)= 3-x / 2+x ; x=0; -3
Ответы
Автор ответа:
1
Решение на прикреплённой фотографии
Приложения:
Похожие вопросы
Предмет: Оʻzbek tili,
автор: anaraerzhanova23
Предмет: Математика,
автор: tlitvinova816
Предмет: Химия,
автор: egasemka
Предмет: Химия,
автор: krikynofficial
Предмет: Русский язык,
автор: igor44449278