Предмет: Математика, автор: VitalyKotuk

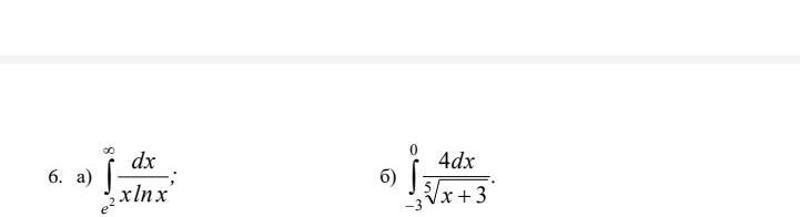
Обчислити інтеграли або встановити їх розбіжність: Варіант 6 а) і б).

Приложения:

Ответы

Автор ответа: NNNLLL54
1

Ответ:

Несобственные интегралы 1 и 2 рода .

\displaystyle \bf a)\ \ \int\limits_{e^2}^{\infty }\frac{dx}{x\, lnx}=\lim\limits_{A \to +\infty} \int\limits_{e^2}^{A}\frac{dx}{x\, lnx}=\lim\limits_{A \to +\infty }\Big(ln|lnx|\, \Big|_{e^2}^{A}\Big)=\\\\\\=\lim\limits_{A \to +\infty }\Big(ln|lnA|-ln(lne^2)\Big)=\Big[+\infty -ln2\ \Big]=+\infty  

Интеграл расходится .

\displaystyle \bf b)\ \ \int\limits_{-3}^{0}\frac{4\, dx}{\sqrt[5]{\bf x+3}}=\lim\limits_{A \to -3+0} \int\limits_{A}^{0}\frac{4\, dx}{\sqrt[5]{\bf x+3}}=\lim\limits_{A \to -3+0}\Big(5\sqrt[5]{\bf (x+3)^4}\Big)\Big|_{A}^{0}=\\\\\\=\lim\limits_{A \to -3+0}\Big(5\sqrt[5]{\bf 3^4}-5\sqrt[5]{\bf (A+3)^4}\Big)\Big|_{A}^{0}=5\sqrt[5]{\bf 81}-5\cdot 0=\sqrt[5]{\bf 81}  

Интеграл сходится .

Приложения:
Похожие вопросы
Предмет: Українська література, автор: danabrodkevych2011